
مهم ترین معیار در شناسایی سلامت کودك ، بررسی رشد و تکامل او است. رشد، افزایش اندازه ي قد و وزن است. پایش رشد عبارت است از توزین دوره اي کودکان، رسم منحنی هاي رشد و انجام به موقع اقدامات لازم براي ارتقاي وضعیت تغذیه اي و پیش گیري از سوء تغذیه. پایش رشد، نتایج بسیار خوبی در ارتقاي سلامت کودك دارد. فعالیتهاي مرتبط با پایش رشد کودکان از طریق برنامه هاي ادغام یافته کودك سالم و مانا انجام می گردد.
ارزیابی رشد کودك
ارزیابی رشد کودك شامل اندازهگیري قد و وزن و مقایسه ي آن با استانداردهاي رشد میباشد. آن چه که بسیار مهم است، اقدام به موقع جهت تشخیص و ثبت علل تأخیر رشد میباشد. سرعت رشد قد بر حسب سن متفاوت است و چنان چه از حد مورد انتظار کم تر باشد اختلال رشد قد مطرح می گردد.
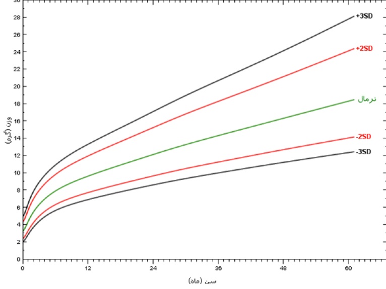
نمودار زیر نمونه ای از بررسی پایش رشد کودک شما برای وزن گیری می باشد. در این نمودار نسبت وزن گیری برحسب سن کودک در ماه های مختلف اندازه گیری میشود و خطوط مربوطه توسط متخصص به هم وصل میشود.چنانچه خطوط وزن گیری کودک شما بین دوخط قرمزبالا و پایین باشد وزن گیری کودک شما نرمال واگر بین خط قرمز و مشکی پایین باشد به معنی وزن گیری کم و سوتغذیه میباشد و اگر بالای خط مشکی وقرمزبالا باشد خطر افزایش وزن و چاقی را برای او به دنبال دارد.







